FacebookX / TwitterLinkedinThreads

1. FUNDAMENTAL PRINCIPLES OF ESTABLISHING THE TAXPAYER RATING SYSTEM

The following three main goals have been set for the Taxpayer Rating System:

  • to inform the taxpayers about the compliance of indicators characterising their economic activities with general economic trends;
  • to motivate the taxpayers to observe and improve the discipline of performing their tax liabilities;
  • to provide the taxpayers with a tool which they can use to inform partners about their reputation and the discipline of performing their tax liabilities, as well as the compliance of indicators characterising their economic activities with general economic trends.

The rating is available to the following taxpayers/legal persons, which have been registered in the   Taxable Persons Register for at least six months, regardless of their tax payment regime:

  • limited liability companies;
  • joint stock companies;
  • farming and fishing enterprises, as well as individual enterprises which are submitters of annual accounts.

The Taxpayer Rating System includes seven dimensions of analysis described by using 18 indicators. To provide an objective assessment for various aspects of the taxpayer activities, certain dimensions include more than one indicator. The number of indicators to be assessed for each taxpayer can differ.

Table 1

Indicators of the Taxpayer Rating System

Analysis dimensions

Indicators of the Taxpayer Rating System

Assessment of registration data

  • “Assessment of registration data”

Tax report submission discipline

  • “Tax report submission discipline”

Debt of payments administered by the State Revenue Service

  • “Total debt of payments administered by the SRS”
  • “Ratio of the total debt of payments administered by the SRS to the contributions  of payments administered by the SRS”
  • “Changes in the total debt of payments administered by the SRS”

Results of the tax administration processes

  • “Forced recovery of payments administered by the SRS”
  • “Additionally calculated amount as a result of tax control measures”
  • “Fines imposed as a result of thematic inspections”

Wage indicators

  • “Conformity of the average hourly wage to the average hourly wage in the country”
  • “Conformity of the average monthly wage to the average monthly wage in the sector in the region”
  • “Changes in the average monthly wage”
Indicators of economic activities
  • “Net profit ratio”
  • “Return on assets ratio”
  • “Current  ratio”
  • “Absolute liquidity ratio”
  • “Equity ratio”
Tax declaration risks
  • “Wage non-declaration risks”
  • “VAT evasion risks”


The taxpayer rating system can be expanded in future by supplementing the range of  dimensions and/or used indicators.

The overall score of the taxpayer rating system is expressed as a total number of points granted to the taxpayer in relation to the maximum number of points, which the taxpayer might potentially receive for the rating indicators to be measured. The overall score is informative; therefore, the user of the rating is recommended to become acquainted with the evaluation of each rating indicator.

A five-point scale is used to interpret the indicators of the Taxpayer Rating System. It would be difficult to define clear descriptions of gradation for a scale with a greater number of points; in turn, a smaller scale would fail to ensure the possibility of sufficiently differentiating the models of taxpayer behaviour.

The Taxpayer Rating System provides for the following:

  • two positive grades — 4 and 5 points;
  • one neutral grade — 3 points, which indicates problems of occasional nature;
  • two negative grades — 2 points and 1 point.

Table 2

Concept of scoring the rating indicators

Points

Graphic depiction of points

Description of points

5

The value of the indicator, which suggests successful business activities or the fulfilment of all tax obligations in full

4

The value of the indicator, which suggests the conformity of economic activities to the tendencies of the sector or good discipline in fulfilling tax obligations

3

grafiskais_att_dzeltens.jpg

The value of the indicator, which suggests periodic problems with the discipline in fulfilling tax obligations or with economic activities

2

grafiskais_att_oranzs.jpg

The value of the indicator, which suggests poor discipline in fulfilling tax obligations or significant risks of economic activities

1

The value of the indicator, which suggests poor discipline in fulfilling tax obligations or high risks of economic activities

Table 3

Overall scoring concept of the rating

Total scoring

Description of the scoring

91 %–100 %

Excellent rating of the taxpayer, which suggests successful business activities and the complete fulfilment of all tax obligations

71 %–90 %

Good rating of the taxpayer, which suggests the conformity of economic activities to the tendencies of the sector or good discipline in fulfilling tax obligations

51 %–70 %

Medium rating of the taxpayer, which suggests periodic problems with the discipline in fulfilling tax obligations or with economic activities

31 %–50 %

Low rating of the taxpayer, which suggests poor discipline in fulfilling tax obligations and/or significant risks of economic activities

<=30 %

Very low rating of the taxpayer, which suggests systematic problems with discipline in fulfilling tax obligations and significant risks of economic activities

The Taxpayer Rating System and the scoring determination algorithm are designed based on the following fundamental principles:

  • medium-long periods of analysis — for the majority of indicators used in rating, the period of analysis includes 12 months; It is designed to include the factor of business seasonality in the analysis;
  • comparison of similar indicators — the data of the analysed taxpayer are compared to the data of similar taxpayers. For example, in assessing wage, the tax payment regime is taken into account. The individual data of a merchant are compared to the average indicators in the country, the sector or the sector in the region;
  • the possibility of starting to improve own rating already in the upcoming month — rating data are updated every month, moving the period of analysis for one month forward;

To enable the taxpayer to assess the conformity of its indicators to the general economic situation in the country, the sector or the region, in which the taxpayer operates, the majority of rating indicators are provided with statistical information regarding the average value of the indicator in the country, the sector and the region.

Data of a particular merchant are linked to the data of its sector and region, which correspond to the principal area of activity declared by the taxpayer and to the legal address at the moment of analysis.

The rating system distinguishes six planning regions: Kurzeme, Latgale, Riga, Pieriga, Vidzeme and Zemgale. In calculating the average values of the regions, the data of merchants, which have declared their legal address in the respective planning region at the moment of analysis, are taken into account.

In determining average indicators in the sector, the areas of principal activities declared by taxpayers according to the four-digit code detalisation of NACE Rev. 2, which determines the description of the area of principal activity precisely enough, are taken into account. In an exceptional case, for sectors, in which a very small number of taxpayers operate, taxpayer’s data are compared to the relevant average two-digit detalisation code of NACE Rev. 2. For example, a sufficiently great number of taxpayers is registered in the sector “NACE code 0111: Growing of cereals (except rice), leguminous crops and oil seeds”; the indicator of taxpayers, who have declared this area of principal activity, are compared to the mean value in the same NACE four-digit code “0111”. In turn, the data of several merchants, whose area of principal activity is “NACE 0112: Growing of rice”, are compared with the NACE two-digit statistical mean: “NACE summary code 01: Crop and animal production, hunting and related service activities”.

In determining average indicators in the sector within the framework of the planning region, the areas of principal activities declared by taxpayers according to the two-digit code detalisation of NACE Rev. 2 are taken into account. In an exceptional case, for sectors, in which a very small number of taxpayers operate, taxpayer’s data are compared to the relevant average value according to the first level (alphabetic) code of NACE Rev. 2.

2. METHODOLOGY FOR MEASUREMENT OF RATING INDICATORS

! ATTENTION: Due to the impact of COVID-19 on the macroeconomic situation, from March 24, 2020 the indicator "Changes in the average monthly wage" is not available in the taxpayer rating system and from April 24, 2020 the indicator "Changes in the total debt of payments administered by the SRS” is not available.

Goal of the indicator — to motivate taxpayers to pay more attention to the data forming the reputation of the company:

  • to focus more carefully on the process of selecting shareholders and members of the board
  • to prevent tax system violations, which might be the reason for the restriction of economic activities.

Source of information for measuring the indicator — the accounting of State Revenue Service (hereinafter - SRS) measures on the restriction of economic activities; taxpayer registration data; indicators of the risk management system of the SRS.

Determination of the indicator — the indicator is determined by measuring the number of full months, which have passed since the last detection of registration risks.

Fig. 1. Example of a data assessment period

Both cases, when the merchant is excluded from registers or measures on the restriction of economic activities are applied thereto, and cases, when significant risks have been detected  with the taxpayer during the registration data assessment process, are considered to be registration risk incidents.
 

Analysed registration risks:

  • the signs of a fictive company have been identified with the taxpayer (for example, the company is registered using stolen passports and counterfeiting the signatures of passport owners; the company’s official has no set place of residence);
  • measures restricting taxpayer’s economic activities:
    • suspension or discontinuation of economic activities;
    • commencement of the process of exclusion from the Value Added Tax Taxable Persons Register upon the initiative of the SRS ;
    • exclusion from the Value Added Tax Taxable Persons Register upon the initiative of the SRS due to the submission of false information and failure to cooperate with the SRS.
  • liquidation proceedings have been initiated for the taxpayer;
  • insolvency proceedings, legal protection proceedings or extra-judicial protection proceedings have been initiated for the taxpayer;
  • insolvency proceedings have been declared for the taxpayer;
  • the member of the board is deprived of the right to hold positions;
  • risks in taxpayer’s registration data (for example, the official is included on the list of high-risk persons).

Granting of points — points are granted based on the number of months, which have passed since the last detection of registration risks. Taking into account that serious violations of requirements of the tax system are most often detected within a relatively short period after the introduction of significant changes in the principal registration data of companies, lower rating points are granted to merchants with relatively recent incidents of registration risk detection. “5” points are granted to the taxpayer, for which no risks have been identified over the last 36 months.

If, as of the data selection day, economic activity of the taxpayer has been suspended or insolvency proceedings have been declared, the taxpayer is granted 0 points and other indicators of the rating are not assessed.
 

Table 4.

Granting of points for the indicator “Assessment of registration data

Rating points

Detailed description of the criterion for grating of rating points

5

No risks have been detected over the last 36 months

4

One of the risks has been detected 25-36 months earlier

3

One of the risks has been detected 13-24 months earlier

2

One of the risks has been detected 7-12 months earlier

1

One of the risks has been detected during the last 6 months

Goal of the indicator — to motivate the taxpayer to submit tax reports and declarations in a timely manner.

Source of information for measuring the indicator — information of the SRS regarding declarations submitted with delay.

Determination of the indicator — the indicator is determined by assessing the number of tax reports and declarations submitted with delay, the term of submission of which started 13 months earlier and ended on the last date of the previous month.


Fig. 2. Example of a data assessment period

In determining the number of tax declarations/reports submitted with delay, the observance of the submission term is analysed for the following documents:

  • annual account;
  • report on mandatory State social insurance contributions from the employees’ work income, personal income tax and State business risk duty during the reporting month;
  • report regarding the work income, personal income tax and State mandatory social insurance contributions of the payers of the income tax for seasonal farm workers;
  • statement on amounts paid to natural persons (summary);
  • statement on amounts paid to a natural person;
  • value added tax declaration;
  • value added tax declaration for the taxation year;
  • corporate income tax declaration
  • tonnage tax declaration;
  • corporate income tax report on income gained and tax paid by a non-resident in the Republic of Latvia
  • excise duty declaration for alcoholic beverages;
  • excise duty declaration for tobacco products;
  • excise duty declaration for fluid used in electronic cigarettes;
  • excise duty declaration for oil products;
  • excise duty declaration for coffee and non-alcoholic beverages;
  • excise duty declaration for natural gas;
  • reports on the calculation of difference of excise goods inventory tax due to changes in tax rates;
  • report on the estimated natural resources tax;
  • electricity tax declaration;
  • subsidised electricity tax report;
  • micro-enterprise tax declaration;
  • report on the estimated gambling tax;
  • report on the estimated lottery tax for lotteries and instant lotteries of national and local scale.

 Documents which are submitted with a one-day delay (on the next day after the declaration/report submission deadline) are not  considered to be declarations/reports submitted with delay:

  • one declaration/report, if the total number of documents to be submitted during the reporting period does not exceed 12;
  • two declarations/reports, if the total number of documents to be submitted during the reporting period exceeds 12.

Granting of points — points are granted based on the number of declarations/reports submitted with delay.
5 points are granted to the taxpayer who has submitted all tax declarations/reports on time.
Other limits of criteria for the granting of rating points are determined based on statistical data on the distribution  of the number of declarations/reports submitted by individual merchants with delay.
If the taxpayer has no data, based on which the value of the indicator can be determined, the indicator is assessed with 0 points.

Table 5.

Granting of points for the indicator “Tax report submission discipline

Rating points Detailed description of the criterion for grating of rating points
5 All taxpayer’s tax declarations/reports have been submitted on time
4 Delays in the submission terms of declarations/reports have been detected for the taxpayer no more than 3 times
3 Delays in the submission terms of declarations/reports have been detected for the taxpayer no more than 5 times
2 Delays in the submission terms of declarations/reports have been detected for the taxpayer no more than 10 times
1 Delays in the submission terms of declarations/reports have been detected for the taxpayer more than 10 times

Determination of the average value in the country, the sector and the region – calculation of the average value comprises all legal persons mentioned in Section 1.2 of this Methodology, who have submitted their tax reports or declarations during the analysis period, including the taxpayers, who have submitted all tax reports/declarations in due time.

Goal of the indicator — to motivate the taxpayer to extinguish the accumulated tax debt.
Source of information for measuring the indicator — information of the SRS regarding the accounting of tax debts.
Determination of the indicator — the measurement of the total amount of debts of payments administered by the SRS is carried out based on the condition of the debt at the end of the preceding month.

Fig. 3. Data assessment period

 

In measuring the total amount of debt of payments administered by the SRS, the debt is measured for the following taxes and mandatory payments:

  • value added tax;
  • corporate income tax;
  • personal income tax;
  • mandatory state social insurance contributions;
  • micro-enterprise tax;
  • excise duty;
  • nature resource tax;
  • lottery and gambling tax;
  • electricity tax;
  • subsidised electricity tax;
  • other income from dividends (income from the use of state/local government capital);
  • state duty for business risk;
  • fines imposed by the SRS;
  • contributions from the amounts of hidden and reduced income, exposed during inspections.

In measuring the total debt of payments administered by the SRS,  the following categories of debts are taken into account:

  • current debts;
  • suspended debts;

In measuring the total debt of payments administered by the SRS, the debt decrease adjustment for the overpaid amounts of taxes or other payments is not made.
Granting of points — points are granted based on the amount of the debt of payments administered by the SRS
“5” points are granted to the taxpayer with no debts.
“4” points are granted to the taxpayers whose tax debt is insignificant.
Other limits of criteria for the granting of rating points are determined based on statistical data on the distribution of size of tax debts of individual merchants.
If the taxpayer has no data, based on which the value of the indicator can be determined, the indicator is assessed with 0 points.

Table 6

Granting of points for the indicator “Total debt of payments administered by the SRS”

Rating points Detailed description of the criterion for grating of rating points
5 To the taxpayer with no debts
4 The total amount of debt at the date of analysis does not exceed EUR 150
3 The total amount of debt at the date of analysis does not exceed EUR 1,000
2 The total amount of debt at the date of analysis does not exceed EUR 10,000
1 The total amount of debt at the date of analysis exceeds EUR 10,000


Determination of the average value in the country, the sector and the region – calculation of the average value comprises all legal persons mentioned in Section 1.2 of this Methodology, including the taxpayers who have no debts of payments administered by the SRS during the analysis period.

Goal of the indicator — to balance the analysis dimension of the debt of payments administered by the SRS and the business size factor. Considering the fact that the amount of tax debt depends on the amount of tax obligations estimated in tax reports, taxpayers with a large turnover and a great number of employees have greater probability for the formation of large amounts of tax debts. In turn, for small taxpayers, the absolute amounts of tax debts are mostly small. Considering  the aforementioned, it is important to measure not only the absolute value of debt, but also the possibility of extinguishing debt, specifying whether the accumulated amount of debt is commensurate to the cash flow of payments ensured by the merchant.
Source of information for measuring the indicator — information of the SRS regarding the accounting of tax debts and the payment of taxes.
Determination of the indicator — the indicator is determined as the ratio of the total debt of payments administered by the SRS to the contributions of payments administered by the SRS.

The measurement of the total amount of debts of payments administered by the SRS is carried out based on the condition of the debt at the end of the preceding month. The amounts of contributions of payments administered by the SRS are measured based on the contributions of payments made by taxpayers during the last 12 months.

Fig. 4. Data assessment period

In measuring the total amount of debts of payments administered by the SRS and the contributions of payments administered by the SRS, the following taxes and statutory payments are analysed:

  • value added tax;
  • corporate income tax;
  • personal income tax;
  • mandatory State social insurance contributions;
  • micro-enterprise tax;
  • excise duty;
  • natural resources tax;
  • lottery and gambling tax;
  • electricity tax;
  • subsidised electricity tax;
  • other income from dividends (income from the use of State/local government capital);
  • State duty for business risk;
  • fines imposed by the SRS;
  • contributions from the amounts of hidden and reduced income, exposed during the inspections;

In measuring the total debt of payments administered by the SRS the following categories of debt are taken into account:

  • current debts;
  • suspended debts;

In measuring the total debt of payments administered by the SRS, the debt decrease adjustment for the overpaid amounts of taxes or other payments is not made.
Contributions mean both the amount of payments made into the State combined budget and the amount of overpaid taxes used to extinguish the debts of other payments.
In measuring the amount of contribution of payments administered by the SRS, the negative adjustment is not made for the amounts of overpayments refunded or used in other types of payments.
 

Granting of points — points are granted by measuring the ratio of the total debt of payments administered by the SRS to the instalments of payments administered by the SRS.

“5” points are granted to the taxpayers with no debts.

“4” points are granted to taxpayers, for whom the ratio of the total debt of payments administered by the SRS to the contributions of payments administered by the SRS is insignificant.

“1” point is granted if a taxpayer has not made any contributions of payments administered by the SRS during the last 12 months or the ratio of the total debt of payments administered by the SRS to the contributions of payments administered by the SRS exceeds 30%.

Other limits of criteria for the granting of rating points are determined based on statistical data on the distribution of the indicator for individual merchants. If the taxpayer has no data, based on which the value of the indicator can be determined, the indicator is assessed with 0 points.

Table 7.

Granting of points for the indicator “Ratio of the total debt of payments administered by the SRS to the contributions of payments administered by the SRS”

Rating points

Detailed description of the criterion for grating of rating points

5

The taxpayer has no debts

4

The ratio of the taxpayer’s total tax debt to tax contributions does not exceed 5%

3

The ratio of the taxpayer’s total tax debt to tax contributions does not exceed 10%

2

The ratio of the taxpayer’s total tax debt to tax contributions does not exceed 30%

1

The ratio of the taxpayer’s total tax debt to tax contributions exceeds 30%, or the taxpayer has a tax debt, but no tax contributions have been made


Determination of the average value in the country, the sector and the region – calculation of the average value comprises all legal persons mentioned in Section 1.2 of this Methodology, including the taxpayers who have no payment instalments administered by the SRS during the analysis period.

Goal of the indicator — to motivate the taxpayer to reduce the accumulated tax debt.

Source of information for measuring the indicator — information of the SRS regarding the accounting of tax debts.

Determination of the indicator — changes in the total debt of payments administered by the SRS are measured by comparing the condition of debts at the end of the preceding month and the condition of debts one month earlier.

Fig. 5. Example of a data assessment period

If, for at least two consecutive months, the taxpayer has no debts of payments administered by the SRS, the indicator is not evaluated.
In measuring the total amount of debt of payments administered by the SRS, debts are taken into account for the following taxes and mandatory payments:

  • value added tax;
  • corporate income tax;
  • personal income tax;
  • mandatory State social insurance contributions;
  • natural resources tax;
  • excise duty;
  • micro-enterprise tax;
  • lottery and gambling tax;
  • electricity tax;
  • subsidised electricity tax;
  • other income from dividends (income from the use of State/local government capital);
  • State duty for business risk;
  • fines imposed by the SRS;
  • contributions from the amounts of hidden and reduced income, exposed during inspections.

In measuring  the total debt of payments administered by the SRS,  the following categories of debts are taken into account:

  • current tax debts;
  • suspended tax debts;

In measuring the total debt of payments administered by the SRS, the debt decrease adjustment for the overpaid amounts of taxes or other payments is not made.

Granting of points — points are granted using two indicators:

  • the absolute value of increase in the amount of payment debts;
  • relative increase in the debt of payments, which is expressed in percentage terms and calculated as the ratio of the absolute value of increase in debt to the total amount of debt at the end of previous month.

For example, if the total debt of the taxpayer amounted to EUR 170 as of 31 July 2019 and to EUR 140 as of 30 June 2019, the relative increase in debt is (170 – 140) : 140 x 100 % = 21 %.
“5” points are granted to the taxpayers which have completely extinguish the debt of payments administered by the SRS during the last month.
“4” points are granted to the taxpayers which had a significant (over 80%) reduction or a negligible (up to 50 EUR) increase in debt of payments administered by the SRS.
“3” points are granted to the taxpayers for which a decrease in debt is insignificant or the debt increase does not exceed 150 EUR. As well “3” points are granted to the taxpayers for which the debt change is 0.
“2” points are granted to the taxpayers for which increase in debt not exceeding EUR 500 or 5%. “2” points are also granted in case the absolute increase in debt exceeds 500 EUR, but on the last date of the previous month the taxpayer did not have debt of payments administered by the SRS.
“1” point is granted to the taxpayers for which an increase in debt is significant. A significant increase in debt is identified for the taxpayers which simultaneously comply with the following signs:

  • the absolute increase in tax debt exceeds EUR 500;
  • the relative increase in tax debt exceeds 5%.

If the taxpayer has no data, based on which the value of the indicator can be determined, the indicator is assessed with 0 points.

Table 8.

Granting of points for the indicator “Changes in the total debt of payments administered by the SRS"

Rating points

Detailed description of the criterion for grating of rating points

5

The taxpayer has no tax debts (debt extinguished)

4

The total tax debt reduction exceeds 80%, or the debt increase tax debt does not exceed EUR 50

3

The total tax debt reduction does not exceed 80%, or the increase of the tax debt does not exceed EUR 150

2

The increase in the total tax debt of the taxpayer does not exceed EUR 500 or 5%

1

The increase in the total tax debt of the taxpayer exceeds EUR 500 or 5%

Determination of the average value in the country, the sector and the region – calculation of the average value comprises all legal persons mentioned in Section 1.2 of this Methodology, including the taxpayers who have no debts of payments administered by the SRS during the analysis period..

Goal of the indicator — to motivate the taxpayers to perform their tax liabilities voluntarily.

Source of information for the measurement of the indicator — information of the SRS regarding the recovery activities.

Determination of the indicator — the indicator is determined by assessing the number of forced recovery actions performed by the SRS in the last 12 months.

Fig. 6. Data assessment period

If the taxpayer does not have payment contributions administered by the SRS and the compulsory recovery activities have not been performed, the indicator is not evaluated.

Granting of points — points are granted in accordance to the type and number of forced recovery actions performed by the SRS.

 

Table 9.

Granting of points for the indicator “Forced recovery of payments administered by the SRS

Rating points

Detailed description of the criterion for grating of rating points
 

5 Forced recovery activities have not been performed
 
4 The taxpayer has been warned orally on the debt of payments administered by the SRS.
 
3 The taxpayer has received several oral warnings or a written warning on the debt of payments administered by the SRS.
 
2 Forced recovery actions have been performed against the taxpayer (collection)
 
1 The taxpayer has no assets for the debt coverage (recovery of the debt is not possible)
 

Goal of the indicator — to motivate the taxpayers to declare their tax liabilities voluntarily and in full volume.

Source of information for measuring the indicator — information of the SRS regarding the results of the tax control measures.

Determination of the indicator – the indicator is determined as the ratio of the additional mount calculated in tax control measures (tax audits, data compliance checks, adjustment of tax amount, adjustment of the taxable object) to the payment contributions administered by the SRS during the previous 12-month period. For more information on the assessment of payment contributions administered by the SRS, see Section 2.4 of this methodology.

Fig. 7. Data assessment period

If no tax control measures have been taken for the taxpayer during the analysis period, the indicator  is not  evaluated.

Granting of points – points are granted by assessing the ratio of the amount calculated in tax control measures to the contributions of payments administered by the SRS.

Table 10.

Granting of points to the indicator “Additionally calculated amount as a result of tax control measures

Rating points

Detailed description of the criterion for grating of rating points

5

The additional amount calculated for the taxpayer does not exceed 1% of the contributions of payments administered by the SRS

4

The additional amount calculated for the taxpayer does not exceed 10% of the contributions of payments administered by the SRS

3

The additional amount calculated for the taxpayer does not exceed 30% of the contributions of payments administered by the SRS

2

The additional amount calculated for the taxpayer does not exceed the contributions of payments administered by the SRS

1

The additional amount calculated for the taxpayer exceeds the contributions of payments administered by the SRS

Goal of the indicator — to motivate the taxpayers to observe regulatory enactments in taxation and accounting.

Source of information for measuring the indicator — information of the SRS regarding the results of the tax control measures.

Determination of the indicator — the indicator is determined by analysing the amount of the imposed fines during the last 12 months.

Fig. 8. Example of a data assessment period

If no thematic inspections have been performed for the taxpayer during the analysis period, the indicator shall not be evaluated.

Granting of points — points are granted in accordance with the amount of fines imposed by the SRS.

Table 11.

Granting of points for the indicator “Fines imposed as a result of thematic inspections

Rating points

Detailed description of the criterion for grating of rating points

5

No fines have been imposed on the taxpayer

4

The amount of fines imposed on the taxpayer does not exceed EUR 150

3

The amount of fines imposed on the taxpayer does not exceed EUR 500

2

The amount of fines imposed on the taxpayer does not exceed EUR 1 000

1

The amount of fines imposed on the taxpayer exceeds EUR 1 000

Goal of the indicator — to inform the taxpayer about the compliance of indicators characterising its economic activities with general economic trends. To motivate the taxpayers to provide the workhours of the employees and their professions correctly.
Source of information for the measurement of the indicator — report on mandatory state social insurance contributions from the employees’ work income, personal income tax and state business risk duty during the reporting month.
Determination of the indicator — the indicator is measured by comparing the average hourly wage of each employer (the average hourly tariff rate) with the 80% of the average hourly wage for the respective profession in the country.  The indicator is expressed in the form of the ratio:

raditaja_noteiksana_forma_0.jpg

where:
AK – the average hourly wage compliance coefficient;
DA – the number of employees, whose average hourly wage equals or exceeds 80% of the average hourly wage for the respective profession in the country;
AS – the number of employees at the analysis period, who have the workhours and profession provided.

Fig. 9. Example of a data assessment period

The indicator is measured only for the taxpayers operating under the general tax regime
Granting of points — points are granted based on the value of the indicator.
5 points are granted to the taxpayers whose average hourly wage compliance coefficient exceeds 0.80.
1 point is granted to the taxpayers whose compliance coefficient does not exceed 0.20.
Other limits of criteria for the granting of rating points are determined based on statistical data on the distribution of the indicator measured for individual merchants.
If the taxpayer has not declared the wage for the last 6 months, the indicator shall be assessed with the mark “0”.

Table 12.

Granting of points for the indicator “Conformity of the average hourly wage to the average hourly wage in the country

Rating points

Detailed description of the criterion for grating of rating points

5

The average hourly wage compliance coefficient of the taxpayer exceeds 0.80

4

The average hourly wage compliance coefficient of the taxpayer exceeds 0.60

3

The average hourly wage compliance coefficient of the taxpayer exceeds 0.40

2

The average hourly wage compliance coefficient of the taxpayer exceeds 0.20

1

The average hourly wage compliance coefficient of the taxpayer does not exceed 0.20

Determination of the average value in the country, the sector and the region – calculation of the average value comprises all legal persons, including the taxpayers who are not mentioned in Section 1.2 of this Methodology.

Goal of the indicator — to inform the taxpayer about the compliance of indicators characterising its economic activities with general economic trends.
Source of information for the measurement of the indicator — tax reports submitted by taxpayers:

  • report on state mandatory social insurance contributions from the employees’ work income,  personal income tax and state business risk duty during the reporting month;
  • micro-enterprise tax declaration.

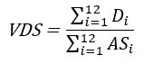
Determination of the indicator — the indicator is measured by comparing the average monthly wage of the taxpayer with the average monthly wage in the sector in the region. When calculating the average monthly wage, the total employment income of the taxpayer at the analysis period is divided by the total number of recipients of work income during the period of analysis (12 months).

raditaja_noteiksana_forma_2.jpg

where:
VDS – the average monthly wage;

Di – the total work income in the i-th month;

ASi –the number of recipients of work income in total in the i-th month.

The indicator is expressed in EUR, rounded to the nearest integer.

Fig. 10. Example of a data assessment period

Granting of points — points are granted based on the size of the average wage.

The indicator measurement scale differs for the taxpayers which operate under general or micro-enterprise tax regime which determine significant differences in these tax arrangements. The general tax regime provides for a relatively higher maximum of work income than that stipulated by the micro-enterprise tax regime and a relatively greater minimum of work income due to the following factors:

  • the report on mandatory state social insurance contributions from the wage of employers, personal income tax and the state duty for business risk during the reporting month reflect the gross remuneration, which includes the employer’s part of the mandatory state social insurance contributions and the personal income tax, while the micro-enterprise tax declaration indicate the net income of the employee;
  • the micro-enterprise tax regime provides for both direct limitations of work income and indirect limitations of salary payouts, which are implemented by limiting the increase in turnover.

For taxpayers operating under the general tax regime:
5 points are granted to the taxpayers whose average wage exceeds the average wage in the same planning region and the sector by more than 20%.
1 point is granted to the taxpayers whose average monthly wage does not exceed 50% of the average wage in the same planning region and the sector.
Other limits of criteria for the granting of rating points are determined based on statistical data on the distribution of the indicator measured for individual merchants.
For taxpayers operating under the micro-enterprise tax regime:
5 points are granted to the taxpayers whose average wage exceeds the average wage in the same planning region and the sector.
1 point is granted to the taxpayers whose average monthly wage does not exceed 40% of the average wage of employees in the same planning region and the sector.
Other limits of criteria for the granting of rating points are determined based on statistical data on the distribution of the indicator measured for individual merchants.
If the taxpayer has changed its tax payment regime during the analysed 12 months, the rating system of the taxpayers assesses its declared wage according to the scale of points, which complies with the current tax payment regime at the moment of analysis.
If the taxpayer has not declared the wage for the last 6 months, the indicator shall be assessed with the mark “0”.

 

Table 13.

Granting of points for the indicator “Conformity of the average monthly wage to the average monthly wage in the sector in the region
(for taxpayers of the general tax payment regime)

Rating points

Detailed description of the criterion for grating of rating points
 

5

The average monthly wage of the taxpayer exceeds the average monthly wage in the same region and sector by more than 20%

4

The average monthly wage of the taxpayer exceeds the average monthly wage in the same region and sector by not more than 20%

3

The average monthly wage of the taxpayer does not exceed the average monthly wage in the same region and sector

2

The average monthly wage of the taxpayer does not exceed 70% of the average monthly wage in the same region and sector

1

The average monthly wage of the taxpayer does not exceed 50% of the average monthly wage in the same region and sector


Table 14.


Granting of points for the indicator “Conformity of the average monthly wage to the average monthly wage in the sector in the region

(for payers of micro-enterprise tax)

Rating points Detailed description of the criterion for grating of rating points
 
5

The average monthly wage of the taxpayer exceeds the average monthly wage in the same region and sector (with a payer of micro-enterprise tax)

 

4

The average monthly wage of the taxpayer constitutes 81% to 100% of the average monthly wage in the same region and sector (with a payer of micro-enterprise tax)

 

3 The average monthly wage of the taxpayer constitutes 61% to 80% of the average monthly wage in the same region and sector (with a payer of micro-enterprise tax)
 
2 The average monthly wage of the taxpayer constitutes 41% to 60% of the average monthly wage in the same region and sector (with a payer of micro-enterprise tax)
 
1 The average monthly wage of the taxpayer does not exceed 40% of the average monthly wage in the same region and sector (with a payer of micro-enterprise tax)
 

Determination of the average value in the sector in the region:

  • the average value for the general tax regime taxpayers is determined on the basis of the latest published data of the Central Statistical Bureau “DS090c Annual average gross wages of workers in statistical regions by kind of activity and by quarter” for four quarters.
  • the calculation of average values for micro-enterprise taxpayers includes all legal entities referred to in Section 1.2 of this methodology which have submitted micro-enterprise tax declarations.

Goal of the indicator — to inform the taxpayer about the compliance of indicators characterising its economic activities with general economic trends.
Source of information for the measurement of the indicator — tax reports submitted by taxpayers:

  • report on state mandatory social insurance contributions from the employees’ work income,  personal income tax and state business risk duty during the reporting month;
  • micro-enterprise tax declaration.

Determination of the indicator — the indicator is measured by comparing the size of the average wage during the last 12 months with this indicator during the relevant period in the previous year. For the calculation of the average monthly wage, see Section 2.10 of this methodology.

Fig. 11. Example of a data assessment period

If, during the analysed 12-month period, the taxpayer has changed the tax payment regime or the taxpayer is a newly established company that lacks data on the previous period, the indicator is not evaluated.

Granting of points — points are granted based on the changes in the average wage. The limits of criteria for the granting of rating points are determined based on statistical data on the distribution of the indicator measured for individual merchants.

If the wage of the micro-enterprise taxpayer is equal to or above the employee income criterion specified for the micro-enterprise (EUR 720), then regardless of the changes, it is assessed as 5 points.
If the taxpayer, which is not a newly established company, lacks data on the previous period, it is assessed as 3 points.
If the taxpayer has not declared the wage for the last 6 months, the indicator shall be assessed with the mark “0”.

Table 15.

Granting of points for the indicator “Changes in the average monthly wage

Rating points

Detailed description of the criterion for grating of rating points

5

The average monthly wage of the taxpayer has increased and exceeds the average monthly wage in the same region and sector

4

The average monthly wage of the taxpayer has not changed significantly (+/–3 %) and exceeds the average monthly wage in the same region and sector

3

The average monthly wage of the taxpayer has decreased, but exceeds the average monthly wage in the same region and sector

2

The average monthly wage of the taxpayer has increased, but does not exceed the average monthly wage in the same region and sector

1

The average monthly wage of the taxpayer has not changed or has decreased and does not exceed the average monthly wage in the same region and sector

Determination of the average value in the country, the sector and the region – calculation of the average value comprises all legal persons mentioned in Section 1.2 of this Methodology who have submitted their employer’s reports or microenterprise declarations.

Goal of the indicator — to motivate the taxpayers to declare labour force taxes and to avoid violations in payment of wages.
Source of information for measuring the indicator – tax declarations and reports submitted by the taxpayers, the SRS information on the results of tax control measures, indicators of the SRS risk management system and other information available to the SRS.
Determination of the indicator — the indicator is measured by comparing the average monthly wage of the taxpayer with the average monthly wage in the sector in the region and other risks of non-declaration of wages identified as a result of the computerised risk analysis performed by the SRS according to the following characteristics:

  • non-compliance of the declared number of employees with the registration data of the taxpayer (e.g. number of units, number of cash registers) or the information provided by third parties;
  • established cases of employment of undeclared employees;
  • the results of checks on the reliability of data contained in the employers' reports;
  • violations established during inspections of employers performed by the SRS;
  • received complaints on incomplete declaration of wages;
  • other risk factors.

Full information on the characteristics and criteria of risk, according to which the computerised system of the SRS identifies the risks of not declaring wages, is confidential and cannot be disclosed.
For the calculation of the average monthly wage, see Section 2.10 of this methodology. Whereas, the wage non-declaration risks  during the first three months of the year are assessed according to the data of the previous year and, starting with the fourth month of the year, after the current year.

Fig. 12. Example of a data assessment period

Granting of points — points are granted with account of the level of risk allocated to each taxpayer, according to the average monthly salary and the results of the computerised risk analysis.
If the taxpayer has not declared the wage for the last 6 months, the indicator shall be assessed with the mark “0”.

Table 16.

Determination of the risk level for the indicator “Wage non-declaration risks

Other wage non-declaration risks

 

Conformity of the average monthly wage to the average monthly wage in the sector in the region

 

Less than 60 % Less than 80 % Less than 100 % Not less than 100 %
None Medium risk level Low risk level No risks No risks
Insignificant High risk level Medium risk level Low risk level No risks
Significant Very high risk level High risk level Medium risk level Low risk level



Table 17.

Granting of points for the indicator “Wage non-declaration risks

Rating points Detailed description of the criterion for grating of rating points
5 Wage non-declaration risks have not been detected for the taxpayer
4 The taxpayer has a low wage non-declaration risk level
3 The taxpayer has a medium wage non-declaration risk level
2 The taxpayer has a high wage non-declaration risk level
1 The taxpayer has a very high wage non-declaration risk level

Goal of the indicator — to inform the taxpayer about the compliance of indicators characterising its economic activities with general economic trends.

Source of information for the measurement of the indicator — the profit and loss statement of annual reports submitted by the taxpayers.

Determination of the indicator —the net profit ratio is calculated by dividing the item “Profit or loss of the reporting year” by the item “Net sales”. The result of the division is expressed in percentage terms.

Fig. 13. Example of a data assessment period

The indicator is not measured in cases, when:

  • the taxpayer is a newly created company, for which, in accordance with Section 14 of the Law On Accounting, the first reporting year can cover a period of up to 18 months;
  • the taxpayer submits a specific annual report, for example, an annual report of a bank or an insurance company

Granting of points — points are granted based on the size of the profitability ratio.
5 points are granted to the taxpayers whose profitability exceeds the average profitability ratio in the sector.
4 points are granted to the taxpayers whose profitability varies within the range from 81% to 100% of the average profitability ratio in the sector.
1 point is granted to the taxpayers which have closed the year with losses or which have not carried out economic activities, declaring zero net turnover.
Other limits of criteria for the granting of rating points are determined based on statistical data on the distribution of the indicator measured for individual merchants.
If the taxpayer has no data, based on which the value of the indicator can be determined, the indicator is assessed with 0 points.

Table 18.

Granting of points for the indicator “Net profit ratio

Rating points

Detailed description of the criterion for grating of rating points

5

Profitability of the taxpayer is positive and exceeds the average profitability ratio in the sector

4

Profitability of the taxpayer is positive and does not exceed the average profitability ratio in the sector

3

Profitability of the taxpayer is positive and does not exceed 80% of the average profitability ratio in the sector

2

Profitability of the taxpayer is positive and does not exceed 50% of the average profitability ratio in the sector

1

Profitability of the taxpayer is negative — the taxpayer has closed the year with losses or has not carried out economic activities

Determination of the average value in the country, the sector and the region – calculation of the average value comprises all legal persons mentioned in Section 1.2 of this Methodology who have submitted their annual reports.

Goal of the indicator — to inform the taxpayer about the compliance of indicators characterising its economic activities with general economic trends.
Source of information for the measurement of the indicator — the profit and loss statement and balance sheet of annual accounts submitted by the taxpayers.
Determination of the indicator —the return on assets ratio is calculated by dividing the item “Profit or loss of the reporting year” by the total amount of the balance sheet assets. The result of the division is expressed in percentage terms.

Fig. 14. Example of a data assessment period

The indicator is not measured in cases, when:

  • the taxpayer is a newly created company, for which, in accordance with Section 14 of the Law On Accounting, the first reporting year can cover a period of up to 18 months;
  • the taxpayer submits a specific annual report, for example, an annual report of a bank or an insurance company.

Granting of points — points are granted based on the size of the profitability ratio.
5 points are granted to the taxpayers whose profitability exceeds the average profitability ratio in the sector.
4 points are granted to the taxpayers whose profitability varies within the range from 81% to 100% of the average profitability ratio in the sector.
1 point is granted to the taxpayers which have closed the year with losses or which have no assets.
Other limits of criteria for the granting of rating points are determined based on statistical data on the distribution of the indicator measured for individual merchants.
If the taxpayer has no data, based on which the value of the indicator can be determined, the indicator is assessed with 0 points.

Table 19.

Granting of points for the indicator “Return on assets ratio

Rating points

Detailed description of the criterion for grating of rating points

5

Profitability of the taxpayer is positive and exceeds the average profitability ratio in the sector

4

Profitability of the taxpayer is positive and does not exceed the average profitability ratio in the sector

3

Profitability of the taxpayer is positive and does not exceed 80% of the average profitability ratio in the sector

2

Profitability of the taxpayer is positive and does not exceed 50% of the average profitability ratio in the sector

1

Profitability of the taxpayer is negative — the taxpayer has closed the year with losses or has no assets

Determination of the average value in the country, the sector and the region – calculation of the average value comprises all legal persons mentioned in Section 1.2 of this Methodology who have submitted their annual reports.

Goal of the indicator — to inform the taxpayer about the compliance of indicators characterising its economic activities with general economic trends.
Source of information for the measurement of the indicator — balance sheets of annual accounts submitted by taxpayers.
Determination of the indicator — the current ratio is calculated by dividing the amount of current assets by the total amount of short-term liabilities. The result of the division is expressed in the form of a ratio.

Fig. 15. Example of a data assessment period

The indicator is not measured in cases, when:

  • the taxpayer is a newly created company, for which, in accordance with Section 14 of the Law On Accounting, the first reporting year can cover a period of up to 18 months;
  • the taxpayer submits a specific annual report, for example, an annual report of a bank or an insurance company.

Granting of points — points are granted based on the size of the current ratio.
5 points are granted to the taxpayers whose current ratio exceeds 1 or who have no short-term liabilities. The taxpayers have sufficient current assets to cover all of their short-term liabilities.
4, 3, 2 points and 1 point reflect the situations, when current assets of the taxpayers are not sufficient to cover all of their short-term liabilities. The limits of criteria for granting of these assessments are determined based on statistical data on the distribution of the assessed indicator for individual merchants.
1 point is granted to the taxpayers which have no current assets.
If the taxpayer has no data, based on which the value of the indicator can be determined, the indicator is assessed with 0 points.

Table 20.

Granting of points for the indicator “Current ratio

Rating points

Detailed description of the criterion for grating of rating points

5

The current ratio of the taxpayer exceeds 1.00 or the taxpayer has no short-term liabilities

4

The current ratio of the taxpayer does not exceed 1.00

3

The current ratio of the taxpayer does not exceed 0.70 

2

The current ratio of the taxpayer does not exceed 0.50

1

The current ratio of the taxpayer does not exceed 0.30 or the taxpayer has no current assets

Determination of the average value in the country, the sector and the region – calculation of the average value comprises all legal persons mentioned in Section 1.2 of this Methodology who have submitted their annual reports.

Goal of the indicator — to inform the taxpayer about the compliance of indicators characterising its economic activities with general economic trends.
Source of information for the measurement of the indicator — balance sheets of annual accounts submitted by taxpayers.
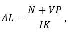
Determination of the indicator — the absolute liquidity ratio is calculated by dividing the amount of highly liquid assets (cash and securities) by the total amount of short-term liabilities. The indicator is expressed in the form of a ratio.

raditaja_noteiksana.jpg

where:
AL – absolute liquidity ratio;
N – cash;
VP – securities;
IK – total amount of short-term liabilities.

Fig. 16. Example of a data assessment period

The indicator is not measured in cases, when:

  • the taxpayer is a newly created company, for which, in accordance with Section 14 of the Law On Accounting, the first reporting year can cover a period of up to 18 months;
  • the taxpayer submits a specific annual report, for example, an annual report of a bank or an insurance company.

Granting of points — points are granted based on the size of the absolute liquidity ratio.
5 points are granted to the taxpayers whose absolute liquidity ratio exceeds 0.5 or who have no short-term liabilities.
4, 3, 2 points and 1 point reflect the situations, when the ability of the taxpayers to cover their short-term liabilities is limited. The limits of criteria for granting of these assessments are determined based on statistical data on the distribution of the assessed indicator for individual merchants.
1 point is granted to the taxpayers who have no highly liquid assets.
If the taxpayer has no data, based on which the value of the indicator can be determined, the indicator is assessed with 0 points.

Table 21.

Granting of points for the indicator “Absolute liquidity ratio

Rating points

Detailed description of the criterion for grating of rating points

5

The absolute liquidity ratio of the taxpayer exceeds 0.50 or the taxpayer has no short-term liabilities

4

The absolute liquidity ratio of the taxpayer does not exceed 0.50

3

The absolute liquidity ratio of the taxpayer does not exceed 0.30

2

The absolute liquidity ratio of the taxpayer does not exceed 0.20

1

The absolute liquidity ratio of the taxpayer does not exceed 0.10 or the taxpayer has no highly liquid assets

Determination of the average value in the country, the sector and the region – calculation of the average value comprises all legal persons mentioned in Section 1.2 of this Methodology who have submitted their annual reports.

Goal of the indicator — to inform the taxpayer about the compliance of indicators characterising its economic activities with general economic trends.
Source of information for the measurement of the indicator — balance sheets of annual accounts submitted by taxpayers.
Determination of the indicator — the equity ratio is calculated by dividing the balance sheet item “Total equity capital” by the total sum of the balance sheet. The indicator is expressed in the form of a ratio.

Fig. 17. Example of a data assessment period

The indicator is not measured in cases, when:

  • the taxpayer is a newly created company, for which, in accordance with Section 14 of the Law On Accounting, the first reporting year can cover a period of up to 18 months;
  • the taxpayer submits a specific annual report, for example, an annual report of a bank or an insurance company.

Granting of points — points are granted based on the value of the equity ratio.
5 points are granted to the taxpayers whose equity ratio varies within the range from 0.51 to 1.0, which suggests the low dependence of the taxpayers on creditors.
1 point is granted to the taxpayers with a negative equity ratio, which suggests that the losses accumulated during closed financial years have exceeded the combined amount of the share capital and reserves, and the activities of the company are ensured exclusively from borrowed funds.
1 point is granted to the taxpayers who have no  assets or liabilities.
Other limits of criteria for the granting of rating points are determined based on statistical data on the distribution of the indicator measured for individual merchants.
If the taxpayer has no data, based on which the value of the indicator can be determined, the indicator is assessed with 0 points.

Table 22.

Granting of points for the indicator “Equity ratio

Rating points

Detailed description of the criterion for grating of rating points

5

The Equity ratio of the taxpayer is between 0.51 and 1.00

4

The Equity ratio of the taxpayer is between 0.41 and 0.50

3

The Equity ratio of the taxpayer is between 0.31 and 0.40

2

The Equity ratio of the taxpayer is between 0 and 0.30

1

The Equity ratio of the taxpayer is negative or the taxpayer has no assets

Determination of the average value in the country, the sector and the region – calculation of the average value comprises all legal persons mentioned in Section 1.2 of this Methodology who have submitted their annual reports.

Goal of the indicator — to stimulate the taxpayer to declare their value added tax obligations correctly and fully, motivating taxpayers to assess information about their counterparties thoroughly.

Source of information for measuring the indicator — VAT statements submitted by the taxpayers and annexes thereto, summary reports submitted by companies of Member States of the European Union, in which deliveries to Latvian taxpayers are declared, SRS analytical information.

Determination of the indicator — the indicator is determined by assessing the following risk features in the data provided in the VAT statements of the taxpayers and their counterparties:

  • the differences between the transaction values specified in the VAT statements of the taxpayers and their Latvian counterparts;
  • the differences between the transaction values specified in the VAT statements of the taxpayers and their European Union counterparts;
  • transactions with counterparties that are excluded from the VAT register at the initiative of the SRS at the time of the transaction or after it;
  • large amount of non-disclosable transactions (transactions below EUR 150) in the annex to the VAT statements of the taxpayers.

The VAT risks during the first three months of the year are assessed according to the data of the previous year and, starting with the fourth month, after the current year.

Fig. 18. Example of a data assessment period

If the taxpayer is not in the VAT register or has been excluded from the VAT register more than 36 months ago, the indicator shall not be evaluated.
Granting of points — points are granted based on the computerised risk analysis performed by the SRS, the risk level assigned to each taxpayer according to the aforementioned risk characteristics.
 

Table 23

Granting of points for the indicator “VAT risks for cross-transactions and transactions with partners excluded from the VAT register

Rating points Detailed description of the criterion for grating of rating points
5 VAT risks have not been detected for the taxpayer
4 The taxpayer has a low VAT risk level
3 The taxpayer has a medium VAT risk level
2 The taxpayer has a high VAT risk level
1 The taxpayer has a very high VAT risk level or the taxpayer is excluded from the VAT register at the SRS initiative

3. CURRENT TECHNICAL IMPLEMENTATION OF THE TAXPAYER RATING SYSTEM

Taking into account that some indicators used in the rating system involve a commercial secret, the SRS is not entitled:

  • to publish the personalised indicators of the Taxpayer Rating System;
  • to inform third parties about the individual indicators of the Taxpayer Rating System;
  • to comment by phone on the rating indicators of particular taxpayers.

Taxpayer rating is available only to the taxpayer itself in the Electronic Declaration System. The distribution of the rating is the responsibility of the taxpayer himself.
To reduce the possibility of third parties to become acquainted with the rating of particular taxpayers without the consent from the taxpayer, the SRS shall reply only to questions sent via the Electronic Declaration System, indicating the respective subject of the letter.

Taxpayer ratings are updated once a month, on the 20th-25th day.